A-Level備考:A-Level化學Paper 1易錯題
時間:2022-12-13
來源:alevel學習
作者:未知
2023年5-6月夏季考試備考也已經提上日程!Paper 1全部都是選擇題,雖然我們有25%蒙對的概率,不過總分只有40分,各個成績等級之間相差了了,因此每一分都至關重要。今天給大家從網上分享19年冬天的一套卷子(9701 19w_12)中節選幾道易錯題來詳細講解,希望對大家的考試有所幫助。
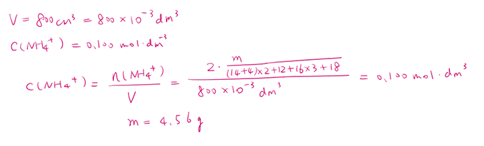
第一題
解題要點:
? 體積單位換算為dm3
? 意識到1mol(NH4)2CO3 ·H2O溶解后有2mol NH4+
答案:A
第二題 解題要點: A 電子排布:2.4,因此是2 energy levels B 具體電子排布:1s22s22p2,因此s orbital上共有4個電子,包括1s和2s,比p orbital上電子多 C和D lowest energy是1s orbital,是球形的 答案:D
第三題 解題要點: endothermic:吸熱反應 常見的吸熱反應有:熱分解(thermal decomposition reaction);銨鹽(Ammonium salt)溶于水 答案:D
第四題 解題要點: Standard enthalpy change of atomisation的定義: The enthalpy change when one mole of gaseous atoms is formed from the element in its standard state under standard conditions. 通過重點劃出來的兩個要點來判斷答案。 產物系數一定是1,代表1mol 產物狀態只能是g 箭頭左邊物質要符合在standard condition下的狀態 答案:B
第五題 解題要點: Oxidation number的判斷 大家參照上圖規律判斷反應中各個原子oxidation number,發生變化的是: N:-3 → 0 (升高,被氧化) Cr:+6 → +3 (降低,被還原) 答案:C
